Правительство обнародовало информацию о доходах министров и их заместителей за январь. В первом месяце года выплаты начислялись еще по старым правилам. Но с февраля зарплаты будут начисляться с привязкой к средней зарплате по Украине через установленный коэффициент, как это предусмотрено принятым 5 февраля решением Кабмина. Премии, соответственно, будут в размере не более одного оклада, при этом будут выплачиваться в соответствии с оценкой деятельности по результатам квартала.
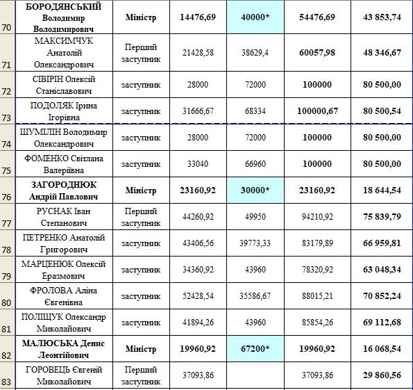
Так, в январе больше всего получил уволенный на днях замминистра иностранных дел Сергей Кислица - ему после вычета налогов и сборов начислили 130,2 тыс. грн. Чуть более 100 тыс. получили замминистра социальной политики Наталия Ненюченко и замминистра цифровой трансформации Валерия Ионан. В то же время министрам, в отличие от их заместителей в большинстве министерств, не выплатили премии. Они согласованы, но будут выплачены в феврале.
Из министров больше всего зарплаты получил министр иностранных дел Вадим Пристайко - 68 269 грн, министр инфраструктуры Владислав Криклий получил 52 679 грн, а министр внутренних дел Арсен Аваков - 47 290 грн Премьер Гончарук получил 33 782 грн, вице-премьер Дмитрий Кулеба - 33 841 грн, вице-премьер Михаил Федоров - 27 713 грн. Меньше всего получает министр Кабмина Дмитрий Дубилет - 12 721 грн.







